SERVICE PHONE
363050.com发布时间:2025-11-12 07:49:51 点击量:
江苏超级足球联赛,江苏足协联赛,足球赛程,积分榜,江苏球队,足球直播,聚焦江苏超级足球联赛,提供2025年赛程、积分榜、参赛队伍资料、赛事直播及精华集锦,全民足球激情不断更新!随着泰州战胜南通赢得冠军,2025年江苏省城市足球联赛(苏超)也画上了句号,江苏的足球迷似乎一下子失去了观赛的对象。然而,随着苏超落幕,另一项重磅赛事的名单也公布了,那就是第二届江苏省足球发展重点城市对抗赛。这项赛事将采用主客场制,比赛将于11月22日晚上19:35在南京奥体中心体育场举行,首回合由南京队主场迎战苏州队。
这项赛事的参赛要求是,球员必须在1985年1月1日到2009年12月31日之间出生,即16到40岁之间,并且需要满足至少一个与代表城市相关的条件,比如户籍、社保、学籍或身份证的所属地。此外,赛事还对年轻球员的出场人数做出了限制:每场比赛中,出生在2003年1月1日以后、年龄不超过22岁的球员上场人数不得少于5人。这一规定预计会在2026年的苏超中继续执行。
同时,赛事组委会公开了首回合的球员名单,估计是为了避免后续引发争议。比如,泰州在击败南通夺冠后,有球迷质疑泰州队使用了长春亚泰U21队员,认为这种做法不公平。首回合球员名单的公示时间为2025年11月7日至13日。如果各参赛单位对球员资格有异议,可以通过设区市体育局向省体育局反馈,并提交相关证据材料。
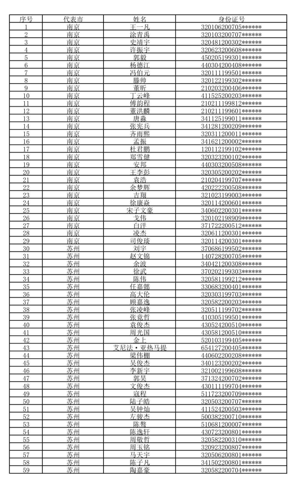
南京队的阵容主要来自苏超南京队和南京城市队,知名球员包括戈伟、腾帅(苏超最佳射手)、冯伯元、吉翔、郑雪健、唐淼和司俊琰等。苏州队方面,主要由苏超苏州队和苏州东吴队的球员组成,主教练是前国脚李玮锋。苏州队的知名球员有寇程、陆子皓、高大伦、张凌峰等。
在苏超第6轮的比赛中,南京队与苏州队交手,比赛以0比0的平局收场。不过,这场比赛的焦点并不在于平局本身,而是南京队长杨笑天用肘部锁喉的动作将苏州小将陆子皓击倒。事后,杨笑天被追加停赛一场,且受到了较大的舆论压力,甚至一度未能再上场。随后,杨笑天重新回到南京队,并继续担任队长。而在此次对抗赛的名单中,杨笑天并未入选,因此苏州的陆子皓也无缘找杨笑天“复仇”。不过,这只是球迷们的调侃,毕竟竞技体育中,动作较大是很常见的,杨笑天也为自己的行为受到了应有的惩罚。
江苏省足球发展重点城市对抗赛除了设有冠亚军奖项外,还设有“最佳球员奖”、“最佳射手奖”和“最佳守门员奖”等个人奖项。从两队的阵容来看,南京队的实力显得比较强大,阵容上更为星光熠熠,但在苏超半决赛中,南京队也曾输给过泰州队。而苏州队的球员相对较年轻,充满了冲劲和活力。究竟哪支队伍能赢得最终的胜利,仍然难以预测。那么,你更支持南京队还是苏州队夺冠呢?
